論題:電子皮帶秤安裝之鏈碼檢驗裝置實戰
皮帶秤廣泛應用于燃煤電廠的入爐煤計量和入廠煤計量,為了保證皮帶秤稱量準確度,一是檢驗時要校準皮帶秤二是要能很方便地經常對皮帶秤校準。對于連續作業性很強的電廠,輸煤系統經常采用實煤檢驗十分困難,且現場眾多原因造成不能及時進行檢驗,皮帶秤稱量準不準心中無數,實際上就失去了使用皮帶秤的意義。 DCX型模擬載荷檢驗裝置(循環鏈碼)是近年來研制、開發,并經試驗后已投入使用的一種新型模擬載荷檢驗裝置。現場使用結果表明該裝置具有操作方便、檢驗重復性好、長期穩定性好等優點,能實現與實物檢定差值有效地修正,解決了皮帶秤檢驗難題。目前,已經應用于眾多的燃煤電廠皮帶秤使用中的檢驗。 2003年5月實施的JJG195一2002皮帶秤國家計量檢定規程,在新增加的主要內容里有:使用中檢驗應使用實際使用物料進行,對于難以經常使用物料進行使用中檢驗的皮帶秤,使用中檢驗可以使用模擬載荷裝置替代實際物料進行使用中檢驗,其條件是模擬載荷裝置的試驗結果必須是按模擬載荷試驗的要求,經物料試驗修正后的試驗結果。并明確規定:“通常可用循環鏈條碼等重復性達到0.1%的模擬載荷裝置對0.5級皮帶秤、1級皮帶秤和2級皮帶秤進行使用中檢驗,使用其他模擬載荷裝置對1級皮帶秤和2級皮帶秤進行使用中檢驗!
1 DCX型模擬載荷檢驗裝置
DCX型模擬(循環鏈碼)工作原理裝置主要由標準質量循環鏈碼、鏈碼托輥及支架、主附升降系統、測重測速傳感器、檢驗累計器及控制系統組成。如圖1所示。

循環鏈碼由數百個標準質量砝碼連接成21m長的閉合鏈條,根據需要制造1 ~ 6條供選用。標準質量砝碼有10kg/m 、20kg/m 、30kg/m 、 40kg/m 、50kg/m系列,每米質量誤差 ≤0.05%。啟動皮帶機,當升降系統控制工作在下降狀態時,部分鏈碼自動降落在設有稱量段的皮帶上,鏈碼隨著皮帶的移動周而復始地循環通過稱量段,將砝碼的重量作用在稱量段上,皮帶秤累計重量就是循環鏈碼通過稱量段上的累計重量。與此同時,檢驗累計器也累計循環鏈碼作用在稱量段的重量。因模擬載荷檢驗裝置總不確定度優于0.1%,將檢驗累計器的累計值與皮帶秤累計值進行比較,就可以確定皮帶秤累計值誤差,從而完成了檢驗工作。將升降系統控制工作在提升狀態,循環鏈碼自動提升離開皮帶,整個檢驗工作結束。具有操作簡單實用、使用方便可靠、不影響生產等優點。測重傳感器用來測量通過稱量段的鏈碼重量,測速傳感器是測量皮帶運行速度。
2 現場測試
為了對DCX型模擬載荷檢驗裝置進行考核,檢定其準確度和穩定性,并進行檢驗結果與實物的比對試驗,2011年11月電力部熱工計量測試中心在安徽省銅陵國家皮帶秤質量檢測中心進行了檢驗裝置與實物檢定的比對試驗。 2012年2月至10月又在江蘇常熟電廠、河南姚孟電廠進行了比對試驗,同年12月以中國計量科學研究院為組長的全國質量計量技術委員會電子皮帶秤檢定方法比對試驗小組又在江蘇常熟電廠進行了皮帶秤與模擬載荷檢驗裝置比對試驗,所測結果如表1所示。 2012年2月~5月,江蘇常熟電廠模擬載荷檢驗裝置檢驗皮帶秤的數據結果如表2所示

表2中所列數據是模擬載荷裝置的循環鏈碼放置在皮帶秤稱量段時,皮帶秤在檢驗時間內多次累計值的平均值,以2月28日皮帶秤示值的平均值作為標準計算變差,F場測試結果證明,在3個月中模擬載荷裝置檢驗皮帶秤時最大變差為- 0.085%,未超過1%的總不確定度。.2000年11月,在河南姚孟電廠二期擴建工程中, 4#乙側皮帶秤模擬載荷檢驗裝置實物修正值驗證數據如表3所示。 表3中平均誤差率-x = 0.070% ,標準偏差σ=0.183%。測試時模擬載荷檢驗裝置內設實物修正值c=0.9888,驗證結果可以看出檢驗裝置與皮帶秤的平均誤差率0.06%,與實物檢定皮帶秤誤差率相比較只差0.01%。實物檢定皮帶秤是采用姚孟電廠的軌道衡稱量,共計28個車皮物料,總重量為1709.316t,檢定數據如表4所示。

2003年7月28日,在寧夏石咀山電廠采用模擬載荷裝置對5#甲乙側皮帶秤兩臺皮帶秤進行使用中檢驗,所測試數據如表5和表6所示。

3 誤差分析與計算方法
皮帶秤作為一種動態計量設備就必然存在誤差問題。誤差直接關系到企業的經營和經濟效益,所以必須經常校,且要校準。檢定、檢驗皮帶秤的裝置同樣存在誤差問題,這就必須對裝置的檢測數據進行處理,對誤差進行分析,找到產生誤差的源頭和誤差變化的規律。如輸送機在運行中產生較大的振動,通過托輥傳遞給皮帶以及皮帶在運行中跳動,使循環鏈碼在振動和跳動狀態中稱量。皮帶速度的變化,測重傳感器、測速傳感器的采樣誤差,顯示儀表的隨機誤差,鏈碼檢定安裝造成的誤差等,只有減少各方面的誤差才能保證在系統誤差內,并進行合理修正才能提高檢驗裝置的精度,其目的是為了保證皮帶秤計量準確度。
3.1 對表1試驗結果數據進行分析
此數據是皮帶秤實物檢定裝置與模擬載荷檢驗裝置的比對試驗的結果。可以看出,皮帶秤實物檢定裝置的最大誤差值小于模擬載荷檢驗裝置;而模擬載荷檢驗裝置的相對誤差最大差值和相對誤差的實驗標準差又優于皮帶秤實物檢定裝置。通過試驗結果可得出,皮帶秤實物檢定裝置和模擬載荷檢驗裝置可以開展0.5級、1級和2級皮帶秤的檢定和使用中的檢驗。雖然模擬載荷檢驗裝置的一些試驗結果優于實物檢定裝置的結果,但是從量值溯源的嚴謹性考慮,皮帶秤的首次檢定、后續檢定以及修理后檢定仍然以實物檢定裝置檢定為準,模擬載荷檢驗裝置只能作為皮帶秤日常使用中的檢驗標準,以它具有的功能達到能經常性地對皮帶秤進行動態檢驗的目的。
3.2 對穩定性、重復性數據進行分析
從表2檢驗結果可以看出,3個月中不僅皮帶秤長期性能穩定,而且不同一時期內7次檢驗重復性也十分良好。表3顯然是檢驗裝置服從于實物檢定合格的皮帶秤對 C值修正后,再檢驗皮帶秤的數據。同時也證明了檢驗裝置的標準質量碼塊循環作用在稱量段上,只要皮帶秤稱量不發生變化,它基本是一個恒定重量值。皮帶秤顯示值單位為10kg,檢驗裝置顯示值單位為1kg。表 4證明了皮帶秤實物檢定合格。
3.3 對表5-6所測數據進行分析
現場測試結果不僅反映了皮帶秤使用中的檢驗準確度,同時也能分析模擬載荷裝置的精度。5#甲側檢驗裝置3次示值的平均值為65.653t,循環鏈碼計算值為65.682t 誤差率為- 0.044%,檢驗時間平均值為258.258s ,現場實測值為259.88s ,誤差率為-0.624%。5 #乙側檢驗裝置3次示值的平均值為67.320t,循環鏈碼計算值為67.354t,誤差率為 - 0.050%,檢驗時間平均值為 263.862s,現場實測值為 265.52s,誤差率為-0.624%。分析認為測重傳感器采樣、測速傳感器在振動中采樣存在誤差,且變化量很小。
3.4模擬載荷檢驗裝置誤差計算實例
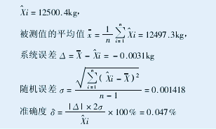
數據統計誤差通常分隨機誤差和系統誤差。隨機誤差是在實際測量條件下多次測量同一量值時,誤差的絕對值和符號以不同方式變化著的誤差。它反映了被測檢驗裝置的精度,隨機誤差越小,說明其精度越高。系統誤差是在偏離規定的測量條件下多次測量同一量值時,誤差的絕對值和符號保持恒定的誤差。系統誤差反映了被測檢驗裝置的正確度,系統誤差越小,說明其正確度越高。評價檢驗裝置的精度既不能單獨看其隨機誤差,也不能單獨考查其系統誤差,而是要對其進行綜合分析和計算,從而確定被測檢驗裝置的綜合指標,即準確度(此時不討論誤差分配問題)。2003年8月23日在現場測試循環鏈碼稱量數據10次:12496 12497 12498 12495 12499 12496 12497 12499 12497 12499,通過對循環鏈碼總重量計算值為

式中:Δ為檢驗結果的系統誤差;^Xi為標準值(真值);隨機誤差按貝塞爾公式計算也稱標準偏差。計算準確度方法稱之當量誤差計算,取2σ其置信概率在95.4%左右。
4對模擬載荷檢驗裝置的綜合評價
模擬載荷檢驗裝置在皮帶秤檢驗中的應用,操作簡單、使用方便、實現了檢驗自動化。檢驗準確可靠,解決了皮帶秤經常校的難題,得到了國家計量部門的認可,已被用戶所接受。
①可達到循環鏈碼的單位長度質量誤差≤0.05%,檢驗裝置準確度≤0.1%的技術指標可以達到,穩定性能,重復性能好,經有關檢測部門測試重復性為0.08%,而在用戶安裝調試中基本在0.05% ~0.03%。
②更新了檢驗皮帶秤重復性的概念,改變了原規程規定在秤架上施加60%Qmax的砝碼皮帶運行數整圈、記錄累計示值共作5次的方法。循環鏈碼的重復性試驗方法是:往運行皮帶上施加循環鏈碼,皮帶秤計數;然后提升循環鏈碼,允許皮帶空轉并將示值回零(若必要);再用同一鏈碼加載兩次。循環鏈碼能很方便地完成自動加載、卸載再加載的檢驗程序,這就是檢驗皮帶秤重復性的新概念。
③由于碼塊的特殊設計,使得循環鏈碼與皮帶同步運行,因此能較好地模擬載荷在皮帶上的運行狀況,不會產生打滑重復稱重的現象,檢驗時操作方便,不必多次開停皮帶機就能完成檢驗工作全過程,不影響皮帶的正常運轉,不占用輸料時間。
④檢驗數據是全面評價模擬載荷檢驗裝置性能指標的重要依據,穩定性能可靠,重復性能好,有利于對數據處理和誤差分析,找到誤差源和誤差變化的規律,可以合理修正其誤差系數。檢驗數據結果證明了與實物檢定之間的修正系數極小。
⑤循環鏈碼每組碼塊重量相差不大,是以每米公斤重量檢定制作而成的,而不是任意每米重量都相同,當鏈碼不是運行整圈或整米通過稱量段時,會給稱量帶來微小的誤差。
⑥循環鏈碼之所以穩定性好、重復性好源于皮帶秤基本在恒定載荷中稱重,而不是隨輸送物料期時大時小波動載荷中稱重。與輸送物料相比較,其狀態近似物料輸送,而不是仿真物料輸送,仍然存在一些差異。因此,在皮帶秤首次檢定時必須經實物確定物料因子,經物料因子修正后才可以替代實物進行使用中檢驗。
⑦目前,模擬載荷檢驗裝置只能是一對一地使用,一臺皮帶秤需要配一套檢驗裝置。隨著技術不斷進步,一臺檢驗裝置檢驗兩臺甚至多臺皮帶秤正在開發研究中。
⑧皮帶秤在使用中由于皮帶的影響存在一定的非線性稱量區間,規程規定物料輸送控制在20% ~100%Qmax,皮帶秤計量特性也不是直線,現場實際稱量與理想線性狀態有不同程度的偏差。但是理想的直線與實際的曲線總會相交的,其交點應該是零誤差點這個交點基本在最大流量的60% ~80%之間徘徊。所以選用循環鏈碼的重量必須在皮帶秤最大流量的60% ~80%之間,才能克服皮帶秤稱量的非線性,減少稱量誤差。
⑨DCX型模擬載荷檢驗裝置(循環鏈碼)是徐州華隆機械設備制造有限公司生產的新產品,經現場測試和用戶調查為持有國家計量部門制造計量器具許可證和計量器具型式批準證書(CPA)的定型產品。 |